Home
Favorites
My Account
Menu
Common Core Sheets
Toán học
chính tả
Tạo A-Review
Tạo-A-Kiểm tra
Tạo A-Trang tính
cải thiện một đoạn văn
đăng nhập
x
Hội đồng giáo viên
>
My Account
Distance Learning Assignments
Lớp học của tôi
Tùy chọn
Toán học
>
Phép cộng
Phép trừ
Phép nhân
Phép chia
Đại số
Góc
Diện tích & chu vi
Cân bằng phương trình
Đồ thị hình cột
Biểu đồ hộp
Sức chứa
Chuyển đổi các dạng
Phép đếm
Số thập phân
Phép chia
Bài tập toán
Các mối liên hệ
Thừa số
Phân số
Hệ trục
Đường thẳng
Đồ thị đường thẳng
Biểu đồ thống kê
vi
Sự đo lường
Tiền tệ
Phép nhân
Bài toán nhiều bước giải
Số âm
Quy tắc
Ví dụ và hàm số
Số phần trăm
Biểu đồ hình ảnh
Biểu đồ hình tròn
Xác suất
Các tính chất
Tỉ lệ
Làm tròn
Các hình
Thống kê
Phép trừ
Kiểm đếm
Nhiệt độ
Thời gian
Giá trị & giá trị vị trí
Biến số
Khối lượng
Thể tích
Bài tập toán
Hội đồng giáo viên
>
My Account
Distance Learning Assignments
Lớp học của tôi
Tùy chọn
Ngôn ngữ
>
spanish
german
russian
italian
vietnamese
french
english
Ủng hộ
>
Patreon
Paypal
Các phần khác
>
Liên hệ & Nhận xét
Sử dụng Các trang như thế nào
Liên hệ & Nhận xét
Home
Phiếu bài tập toán
Trang về phân số
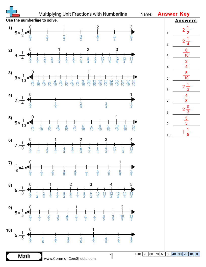
Nhân phân số đơn vị với số nguyên
Like
Playwire Quảng cáo
Nhân phân số đơn vị với số nguyên
Worksheet
Từng cái một
Thẻ flash
Học từ xa
Tạo trang tính mới
Tags
số
ngang
phân số
phép nhân
Standards
4nf4a
Related Worksheets
Playwire Quảng cáo