Home Favorites My Account Menu
đăng nhập

Tải xuống bảng tính

Phiếu bài tập math miễn phí về Biểu đồ phù hợp. Mỗi phiếu có 9 bài tập kèm đáp án và phù hợp cho giáo viên và học tại nhà. Bạn có thể tải PDF, tạo thẻ ghi nhớ hoặc dùng cho học trực tuyến.

Quảng cáo
Select a Different Activity >
Thông tin trang tính >
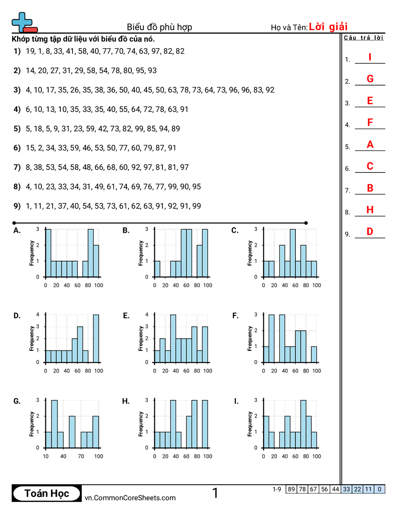
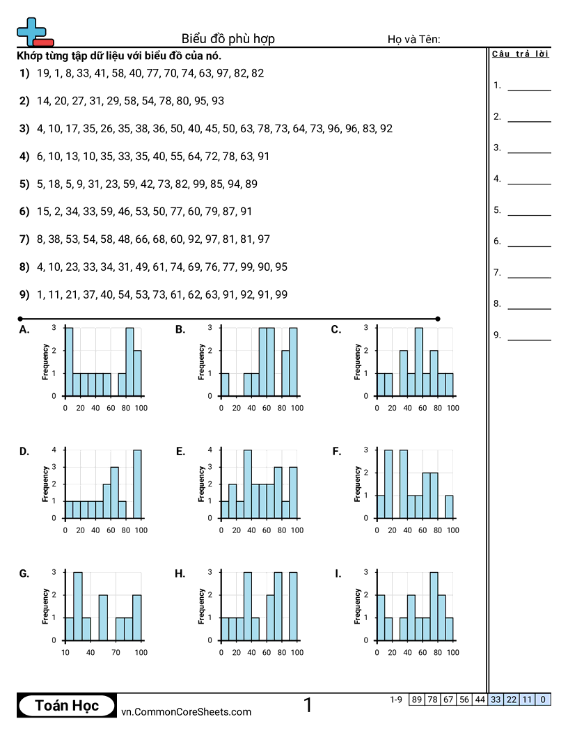
Ghép các biểu đồ tần suất
Mở PDF
tùy chỉnh Xem trước (Nhấp chuột phải để lưu / tải xuống)
mở trong cửa sổ mới
Chọn trang tính
trang
ngôn ngữ
bố cục trang tính>
Seed
chức vụ
Hướng dẫn
Số vấn đề
Ngày đáo hạn
Bao gồm tiêu chuẩn trên Trang tính
Nét chữ
Cỡ chữ pt
Không gian tối thiểu bên dưới sự cố mm
Cột trả lời
Problem Number
hướng trang tính
Quảng cáo