Home Favorites My Account Menu
đăng nhập
Playwire Quảng cáo

Tải xuống bảng tính

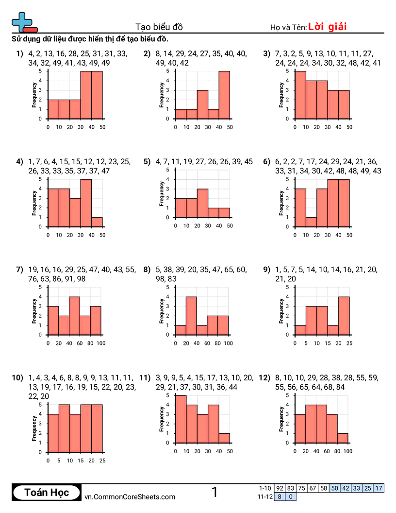
Phiếu bài tập math miễn phí về Tạo biểu đồ. Mỗi phiếu có 12 bài tập kèm đáp án và phù hợp cho giáo viên và học tại nhà. Bạn có thể tải PDF, tạo thẻ ghi nhớ hoặc dùng cho học trực tuyến.

Select a Different Activity >
Thông tin trang tính >
Tạo biểu đồ tần suất (histogram)
Mở PDF
tùy chỉnh Xem trước (Nhấp chuột phải để lưu / tải xuống)
mở trong cửa sổ mới
Chọn trang tính
trang
ngôn ngữ
bố cục trang tính>
Seed
chức vụ
Hướng dẫn
Số vấn đề
Ngày đáo hạn
Bao gồm tiêu chuẩn trên Trang tính
Nét chữ
Cỡ chữ pt
Không gian tối thiểu bên dưới sự cố mm
Cột trả lời
Problem Number
hướng trang tính
Playwire Quảng cáo